Home
Turniere Deutschland/Europa
Turnierarchiv
2011
Schachopen Bodenmais
WK G 2026
Aktuelle Seite:
Startseite
Turniere Deutschland/Europa
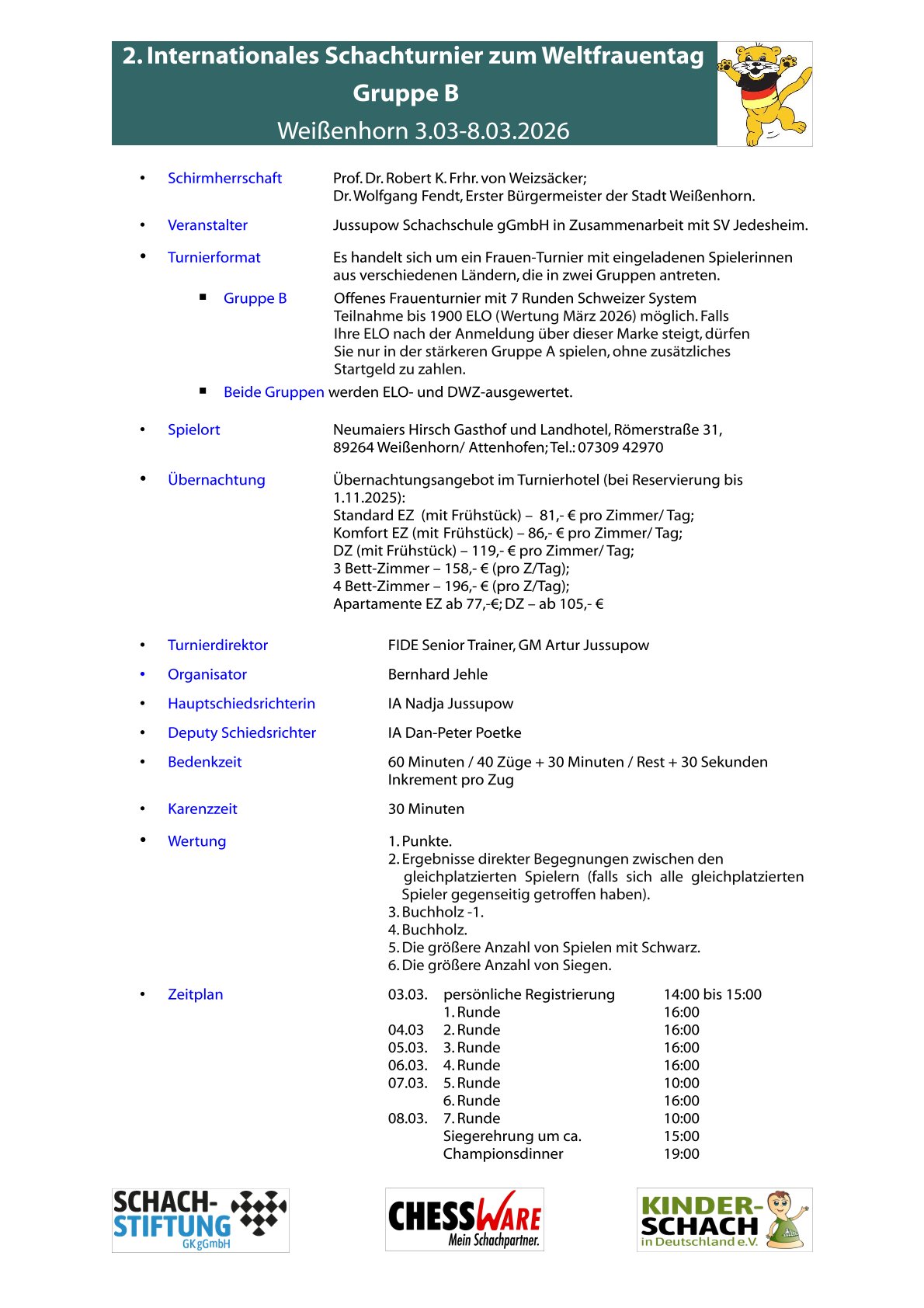
2. Internationales Schachturnier zum Weltfrauentag Weißenhorn, Gruppe B, 2026
2. Internationales Schachturnier zum Weltfrauentag Weißenhorn, Gruppe B, 2026
Download Ausschreibung
<
März
2026
>
Mo
Di
Mi
Do
Fr
Sa
So
23
24
25
26
27
28
1
2
3
4
5
6
7
8
9
10
11
12
13
14
15
16
17
18
19
20
21
22
23
24
25
26
27
28
29
30
31
1
2
3
4
5